Preprocesamiento de variables categóricas con muchos niveles

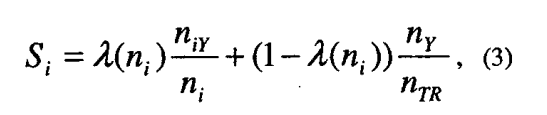
No sabía por qué tenía apartado A Preprocessing Scheme for High-Cardinality Categorical Attributes in Classification and Prediction Problems en mi disco duro para ulteriores revisiones hasta que, al abrirlo, he encontrado la fórmula

que es una versión de mi favorita del mundo mundial (si te dedicas a la ciencia de datos, no la conoces y tienes principios, negocia a la baja tu sueldo: estás timando a alguien).

Todo sumamente aprovechable y recomendable.