Bus al norte, bus al sur
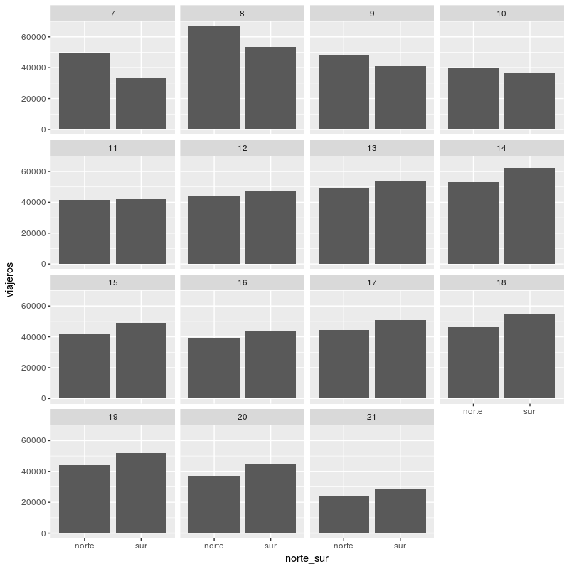
El día 2017-09-20 hubo gente que tomó el autobús en Madrid. Se montó en una determinada parada y la siguiente estaba situada o bien al norte o bien al sur de la anterior.
He contado, por horas, cuánta gente viajó en ese primer tramo, hacia el norte y quién lo hizo hacia el sur y he obtenido

que es —al contrario de los resultados presuntamente basados en datos pero, en el fondo ideológicamente sesgados con los que nos quieren tan frecuentemente vender motos— totalmente compatible con lo que todos los que nos movemos por Madrid sabemos.