La población envejece pero, ¿envejecen también los grupos de edad?
La pregunta es relevante porque en demografía, epidemiología y otras disciplinas entre las que no se suele contar la economía, se suele agrupar la población en grupos de edad (y/u otras variables relevantes). Son habituales los grupos de edad quinquenales y la pregunta es: ¿son homogéneos dichos grupos de edad a lo largo del tiempo?
No es una pregunta baladí: ha dado lugar a noticias como Why So Many White American Men Are Dying que no, no se explican por la desesperación o por la epidemia de opioides sino por el envejecimiento relativo de los grupos de edad en cuestión. En EE.UU., claro, no en España.
¿Y aquí?
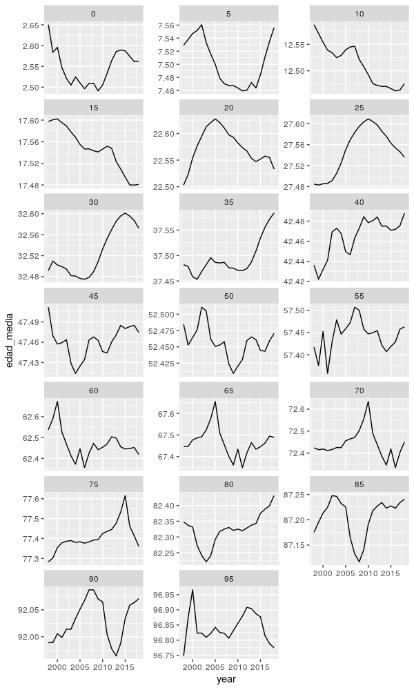
La edad media dentro de los grupos de edad quinquenales ha tenido la siguiente evolución en el siglo que corre:

Y la de los decenales,

No sé si separando por sexos (cosa que dejo como ejercicio) aparecerán patrones más pronunciados. Por si acaso, dejo el código utilizado:
library(pxR)
library(plyr)
library(ggplot2)
dat <- as.data.frame(read.px("02003.px"))
dat <- dat[, c(1, 4, 6)]
colnames(dat) <- c("year", "edad", "n")
dat$year <- as.numeric(as.character(dat$year))
dat$edad <- as.numeric(gsub(" .*", "", dat$edad))
dat$grupo_quinquenal <- 5 * dat$edad %/% 5
dat <- dat[dat$edad < 100,]
tmp <- ddply(dat,
.(year, grupo_quinquenal),
summarize,
edad_media = weighted.mean(edad + .5, n))
ggplot(tmp, aes(x = year, y = edad_media)) +
geom_line() +
facet_wrap(~grupo_quinquenal,
ncol = 3,
scales = "free_y")
dat$grupo_decenal <- 10 * dat$edad %/% 10
tmp <- ddply(dat,
.(year, grupo_decenal),
summarize,
edad_media = weighted.mean(edad + .5, n))
ggplot(tmp, aes(x = year, y = edad_media)) +
geom_line() +
facet_wrap(~grupo_decenal,
ncol = 3,
scales = "free_y")