Rápidamente y para poner el limpio unas cosas que tenía en borrador. El scoring lineal del que me he ocupado en entradas anteriores (p.e., esta o esta) está asociado a un exponente $\lambda = 1$ y el de Brier, a $\lambda = 2$. Entre ambos (y a la derecha del 2) hay otros scorings posibles.
Una penalización de $(1-p)^\lambda$ (véanse las entradas enlazadas más arriba para averiguar a qué me refiero), un predictor tiene un incentivo para modificar su predicción para alcanzar un scoring más alto, salvo en el caso en que $\lambda = 2$, en el que le compensa ser lo más sincero posible.
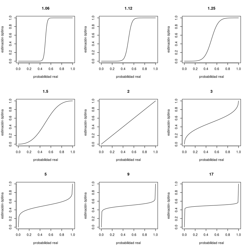
Modificando los valores de $\lambda$, se obtienen las curvas

que muestran la relación entre las probabilidades reales (abscisas) y las que conviene manifestar al predictor. Solo en el caso en que $\lambda = 2$ la relación está dada por la curva $y = x$. Cuando $\lambda < 2$, al predictor le conviene exagerar y cuando $\lambda$ crece, ser conservador y quedarse próximo al 50%.
Esto que es cierto matemáticamente parece casi una lección de vida. Frente a castigos severos, la gente tenderá a anclarse en el yo nu sé. Sin carne en el asador (o sin arriesgar, o sin la talebiana skin in the game) la gente vendrá con ocurrencias y certezas implausibles. Solo en $\lambda = 2$, la mitad en la que mora la virtud,…
Y para terminar y como referencia, el código:
foo <- function(alpha){
exponente <- 1 / (alpha - 1)
curve(x^exponente / (x^exponente + (1 - x)^exponente), 0, 1,
main = format(alpha, digits = 3),
xlab = "probabilidad real",
ylab = "estimación óptima")
}
alphas <- -4:4
alphas <- 1 + 2^alphas
par(mfrow = c(3, 3))
sapply(alphas, foo)
par(mfrow = c(1, 1))