¿De qué "forma" es que A causa B?
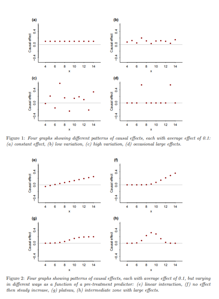
En muchos sitios se habla sobre cómo A causa B —o tiene un efecto de cierto tamaño sobre B—. Mucho menos se suele hablar de la forma de ese efecto. El siguiente gráfico (extraído de aquí) muestra ocho de las infinitas formas en que una variable puede tener un efecto sobre otra:

En todas ellas, el efecto global tiene el mismo valor medio.
Los corolarios los dejo para cada cual.